【佳学基因检测】白化病基因检测案例
基因检测在明确发病原因中的重要作用
赫尔曼斯基-普德拉克综合征(Hermansky-Pudlak syndrome, HPS)是一种罕见的常染色体隐性遗传病,由Hermansky和Pudlak于1959年首次报道,主要影响溶酶体相关细胞器(LRO)的生物合成与运输。目前全球已报道11种HPS亚型,分别由不同基因变异引起。其临床表现因受累基因而异,包括出血倾向、眼皮肤白化病、肺纤维化、肉芽肿性结肠炎、蜡样脂褐素溶酶体蓄积、中性粒细胞减少及神经系统问题。所有HPS亚型共有的临床特征为眼皮肤白化病、出血素质、眼球震颤和视力低下。
部分家族及地区拥有较设的HPS发病率,这与HPS1基因外显子15的16bp重复突变和HPS3基因3.9kb缺失突变这两个奠基者效应相关。在该地区,HPS-1型和HPS-3型约占白化病病例的60%。其余病例则主要与酪氨酸酶(TYR,基因ID:7299;OMIM 606933)和P基因(OCA2)变异相关,分别导致眼皮肤白化病1型(OCA1)和2型(OCA2)。佳学基因解码分享一个基因检测案例家族:两名同胞于1993年被临床诊断为HPS,但全外显子测序及后续基因变异筛查结果显示其实际与OCA1B型相关。30余年来,该家族始终承受着HPS诊断带来的困扰——因患者出血风险需特别关注牙科及外科手术、定期接受肺部评估,并长期担忧后代遗传可能。本案例凸显了基因检测对于临床诊断各类白化病的重要价值。
病例介绍
一名湖南女性在幼年时期被临床诊断患有HPS(Hermansky-Pudlak综合征)。婴儿期时,她因眼震显著,在进行全面眼科检查后被诊断为眼性白化病。婴儿期还伴随有反复感染,三岁时因容易出现瘀伤和出血时间延长,被转诊至血液肿瘤科医生处。由于其肤色较浅、浅棕色头发、眼性白化病以及中性粒细胞减少,医生怀疑为HPS,遂将其血液样本送检以进行血小板的显微镜检查。分析结果发现其血小板内的致密体比正常小,最终被确诊为HPS。
之后,她接受了针对HPS1和HPS3的突变基因的筛查,结果显示她并未携带这些变异。后来,她的弟弟出生,具有浅色皮肤、铂金色头发,之后也被发现患有眼性白化病,因此也被临床诊断为HPS。
成年后,该女性的血小板再次接受显微镜检查,结果显示其血小板中致密体的数量少于正常人,但又多于典型HPS患者(后者通常完全缺失致密体)。目前,这对兄妹均表现出眼性白化病、浅色皮肤和浅棕色头发。该女性的出血时间为7.5分钟,频繁感染的情况已有所缓解,偶尔会出现胃食管反流症状。她的弟弟除患有眼性白化病外,健康状况良好。
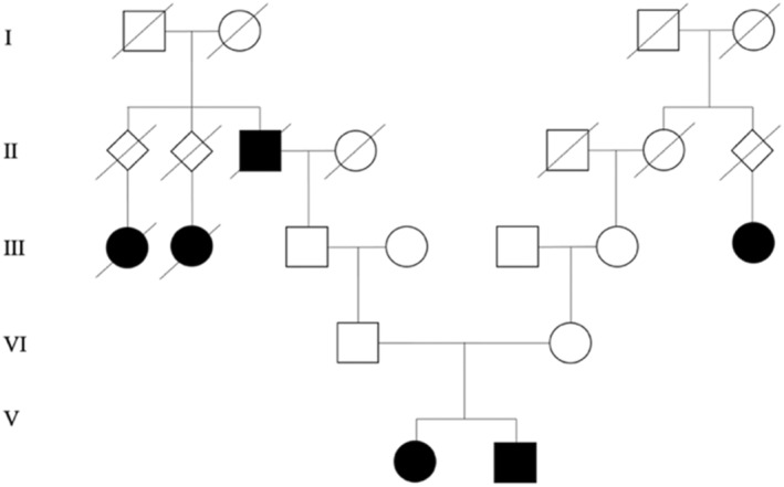
他们的父亲患有梅尼埃病,常有出血问题(由该女性描述),并曾罹患结肠癌和淋巴癌。母亲则患有甲状腺功能波动、恶性贫血及乳腺癌。家族史中未发现HPS病例,但在父母双方家族中均有患白化病的亲属(见图1)。

佳学基因如何进行白化病基因检测
样本采集与处理
从该女性受试者及其父母处采集了血液样本。她的弟弟则提供了唾液样本。使用 QIAamp DNA Maxi Kit(Qiagen,德国希尔登)从全血中提取DNA;她弟弟的DNA则使用 Norgen Biotek 公司(加拿大安大略省索罗德)生产的唾液DNA提取试剂盒提取。
外显子组测序
对该三人组(受试者、其母亲和父亲)进行外显子组测序,测序在佳学基因进行,使用 Ion Proton 测序平台以及 Ion AmpliSeq Exome RDY 文库构建试剂盒(Thermo Fisher Scientific),操作按照厂家说明进行。简要流程如下:每份样本取100 ng基因组DNA(gDNA),配合5X Ion AmpliSeq HiFi Mix和12个独立的外显子引物池,进行10个循环的扩增。PCR产物在引物消化(使用FuPa试剂)前混合。接着使用 Ion P1 和 Ion Xpress 条形码接头进行连接反应。随后使用 Agilent 高灵敏度 DNA 试剂盒在 Agilent 2100 生物分析仪上纯化并定量文库,再进行在 Ion OneTouch 系统上的乳液PCR。乳液和富集步骤使用 IonPI HiQ OT2 200 试剂盒完成。富集的Ion Sphere粒子通过 Ion OneTouch ES(Life Technologies,美国加州卡尔斯巴德)处理。最后,在 Ion Proton 仪器上使用 IonPI HiQ Sequencing 200 试剂盒和 Ion PI chip V3(Thermo Fisher Scientific)进行测序反应。每个芯片加载两个文库,每次测序可获得约13–15 Gb的序列数据。测序读段比对至UCSC人类参考基因组GRCh37/hg19,并使用Ion Torrent分析流程识别变异(Life Technologies,美国加州卡尔斯巴德)。
为了寻找可能导致该女性表型的变异,基因检测分析重点聚焦于与HPS相关的基因及TYR基因。变异筛选标准包括:错义突变,以及该女性与父母至少一方基因型不一致的变异。其弟弟的样本采集在三人组外显子组测序之后,通过PCR和Sanger测序进行分析。每个样本使用100 ng DNA进行扩增。为避免注释错误,筛选出的候选基因变异通过外显子测序以及直接PCR产物和质粒的Sanger测序验证,弟弟的样本也包括在内。自动化Sanger测序在佳学基因一代测序实验室使用ABI 3130系统和染料终止反应化学进行。电泳图通过SnapGene Viewer(Dotmatics)查看。
酪氨酸酶基因变异的单倍型分型(Phasing)
为了确定c.575C>A(rs1042602;p.S192Y)变异的染色体来源,基因解码人员使用Invitrogen公司(美国马萨诸塞州沃尔瑟姆)的Zero Blunt TOPO PCR 克隆试剂盒对TYR基因第1外显子的PCR产物进行克隆。使用Platinum SuperFi高保真聚合酶(Invitrogen,Thermo Scientific)产生平末端PCR产物,并将其克隆入pCR4Blunt-TOPO载体中。连接产物通过化学转化导入One Shot化学感受态大肠杆菌,阳性克隆通过卡那霉素抗性筛选。使用QIAprep Miniprep Kit(Qiagen,德国希尔登)提取质粒,并使用M13通用引物进行测序。为了检测TYR启动子变异c.-301C>T,按照上述方法对PCR产物进行Sanger测序。
致病基因鉴定检测结果
外显子组测序基因解码
对该家系三人(受试者、母亲和父亲)进行了外显子组测序。结果发现受试者在多个与HPS相关的基因中存在错义突变。在HPS1和HPS5基因中检测到受试者的新发突变(de novo),且为杂合状态。与HPS第2型相关的AP3B1基因变异以及HPS4基因中的变异也出现在受试者体内,这些变异在其父母中的一方或双方中也有发现。
使用1000基因组计划第3阶段的波多黎各人群数据(PUR)进行等位基因频率分析,发现与受试者具有相同基因单倍型的变异频率如下:
-
HPS4:34.61%
-
HPS1:8.54%
-
HPS4 和 HPS1 的组合单倍型:3.85%
-
HPS5:8.65%
其中,AP3B1基因区域在PUR人群中的等位基因频率数据不可用。
鉴于家族中存在白化病史,且受试者表现出相关表型,我们进一步分析了TYR(酪氨酸酶)基因的变异。结果发现一个已知的致病变异 c.140G>A(rs61753180;p.G47D),以及两个其他错义变异:c.575C>A(rs1042602;p.S192Y) 和 c.1205G>A(rs1126809;p.R402Q)。虽然半导体测序未能在母亲的DNA中检测到 c.1205G>A 变异,但后续验证阶段的 Sanger 测序证实该变异确实存在。
受试者所携带的 TYR 单倍型在1000基因组波多黎各人群样本中频率为0.0%。而 c.575C>A 和 c.1205G>A 的联合单倍型在PUR人群中的频率为7.69%。
酪氨酸酶基因变异的单倍型分析(Phasing)
Sanger测序确认这对兄妹在 TYR 基因变异 c.140G>A(rs61753180;p.G47D)、c.575C>A(rs1042602;p.S192Y) 和 c.1205G>A(rs1126809;p.R402Q) 上均为杂合状态。同时,他们在启动子变异 c.-301C>T(rs4547091) 上则为纯合状态(见图2a)。
对TYR第1外显子的单倍型分析显示,这对兄妹在两个不同染色体上分别携带变异:c.140G>A 与 c.575C>A 位于不同的染色体上。由于 c.140G>A 来源于父系染色体,故推测 c.575C>A 来自母系染色体(见图2b)。在PUR人群中,c.[-301C;140A] 和 c.[-301C;575A;1205A] 两种单倍型的频率分别为 0.48% 和 1.92%。

图2:酪氨酸酶基因变异的测序电泳图及本基因解码中白化病患者的单倍型图示。
(a) 展示了该兄妹TYR基因中检测到变异区域的 Sanger 测序电泳图(上排:受试者;下排:患病弟弟)。兄妹二人在启动子变异 c.-301C>T(参考等位基因为C,rs4547091) 上为纯合,而在另外三个变异位点——c.140G>A(rs61753180;p.G47D)、c.575C>A(rs1042602;p.S192Y) 和 c.1205G>A(rs1126809;p.R402Q)——上均为杂合。
(b) 展示了患病兄妹体内 TYR 基因单倍型的染色体分布示意图。对TYR基因PCR产物进行Sanger测序后发现,两人均在父系染色体上携带单倍型 [c.-301C, c.140A],在母系染色体上携带单倍型 [c.-301C, c.575A, c.1205A]。
致病基因鉴定基因检测结果说明了什么问题?
外显子组测序结果并未支持HPS(Hermansky-Pudlak综合征)的诊断,因为受试者在HPS相关基因中的变异均为杂合状态,或该基因型亦存在于未受影响的父母中。鉴于受试者存在眼部白化表现及家族病史(见图1),我们进一步分析了其他与白化病相关的基因。
在 TYR 基因中,受试者及其父亲均携带一个常见于OCA1A患者中的致病性变异 c.140G>A(rs61753180;p.G47D),该变异小等位基因频率(MAF)为 0.005。基因解码表明,G47D错义变异可能影响酪氨酸酶与底物或辅助因子的结合。
此外,外显子组测序还发现了 TYR 基因中另外两个编码区的变异:c.575C>A(rs1042602;p.S192Y,MAF = 0.308) 以及 c.1205G>A(rs1126809;p.R402Q,MAF = 0.183),分别位于外显子1和外显子4。受影响家庭成员在 S192Y 变异位点为杂合状态,该位点位于酪氨酸酶的铜结合区域之一。
受试者与其母亲同时携带热敏性变异 R402Q,该变异在37°C时可使酪氨酸酶活性下降近75%,而在31°C时则不受影响。由于该热敏效应,多项基因解码将 R402Q 与OCA白化病类型关联,并强烈建议当 R402Q 与另一致病性TYR变异处于复合杂合状态时应视为致病。当前仍需进一步基因解码 S192Y 与 R402Q 在同一染色体(cis)且与致病性变异(如 G47D)在异染色体(trans)上时的具体作用,但已有证据表明其与 OCA1 类型相关。
基因解码也指出,R402Q 和 S192Y 变异与正常人群中黄斑结构发育有关。而启动子区域变异 c.-301C>T(MAF = 0.567) 被发现可调节 c.1205A 等位基因的外显率。体外基因解码表明,c.-301C 等位基因会降低酪氨酸酶表达,因为它影响了 OTX2 转录因子的结合。因此,若一个人同时纯合携带 c.-301C 与 c.1205A,其患白化病的风险较高。
另一项基因解码证实了这一观点,并发现 c.-301C 与 c.575A 高度连锁不平衡,且单倍型 c.[575A;1205A] 可能源自内含子3内的重组事件。此单倍型在欧裔人群中的频率约为1%,若以纯合形式或与一个致病性TYR变异处于trans状态(例如 G47D),则足以确立遗传诊断,尤其适用于轻度白化病患者。
该患病兄妹在所有 TYR 变异位点的基因型均相同(见图2a)。单倍型分析显示,S192Y 与 R402Q 同在母系染色体上,G47D 位于父系染色体上(见图2b)。两条染色体均携带启动子区域参考等位基因 c.-301C。这是文献中首次报道c.-301C 与致病性G47D在trans状态下,与常见的 S192Y 和 R402Q 变异共同存在的病例。
尽管这些变异的等位异质性使我们难以精确判定造成该兄妹白化表现的具体等位组合,但可明确判断两份 TYR 基因拷贝均已受损。这一结果与其视力差、眼球震颤与色素减退的表型一致,符合 OCA1B 型白化病的诊断。
这些发现强调了白化病在临床和分子诊断上的复杂性。
佳学基因评价
白化病的分子遗传基础表现出位点异质性和基因异质性。开展尽可能全面的遗传检测,有助于医生对白化病患者做出正确诊断,这一点随着时间推移变得愈发重要,因为一些威胁生命的综合征也会表现出类似的表型。进行遗传检测时必须辅以遗传咨询,以帮助患者理解其表型的分子机制,并提供必要的预防措施以保障其健康。
本病例报告不仅展示了进行遗传检测的重要性,同时强调了包含调控区分析、单倍型解析及群体遗传数据的重要作用。
(责任编辑:佳学基因)